
在精密制造领域,零件的几何精度直接影响着产品的性能与寿命。其中,圆度作为衡量旋转体或圆形截面形状精度的关键指标,对于轴承、轴类、齿轮、密封件等核心零部件至关重要。本文将系统介绍圆度的定义、测量方法、国际标准及高精度圆度测量解决方案。

圆度的定义
圆度,是指工件某一横截面轮廓相对于其理想圆的偏离程度。圆度值反映横截面轮廓的最大半径差,代表了轮廓接近完美圆的程度,数值越小,圆度越好。
圆度的重要性及方法
为何要测量圆度?
旋转部件是工业零部件最基本、最普遍的几何形式之一,当回转部件需有平稳运转或低噪声、低功耗、长寿命、高密封等要求时,部件中的回转零件需对其圆度进行测量控制。
典型高要求应用行业: 精密轴承、电机(转子/定子)、燃油喷射系统(油泵、喷油嘴)、发动机(曲轴、凸轮轴、气门组件)、传动齿轮、液压元件等。
如何测量圆度

在工业现场应用中,简易的圆度测量方法通常有两点法和三点法。这两种方法的优点是使用成本低,快速高效。缺点是测量误差大,测量精度低。
半径测量法

在高精度的圆度测量应用中,主流的测量方法采用的是半径测量法,该方法需要使用专业的测量仪器。
其测量原理为:以精密回转轴系为测量基准,采用高精密传感器及角位移传感器实时采集被测横截面的圆轮廓数据,经去噪、滤波等数学处理后,按标准规范计算圆度值,测量精度可达亚纳米级。
圆度测量的滤波

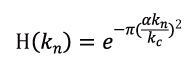
在ISO/TS 12181-2:2003(E)标准中,对圆度测量滤波器的传输率,传输特性均有严格的规定,其传输特性如下:
其中, kc 为截止波数。
圆度中,各截止波长的传输曲线如下图:

不同滤波段的含义为:
1-500upr,抑制角间距小于0.72°不规则形状;
1-150upr,抑制角间距小于2.4°的不规则形状;
1-50upr,抑制角间距小于7.2°的不规则形状;
1-15upr,抑制角间距小于24°的不规则形状。
圆度的评定标准
圆度值的计算依赖于所选择的参考圆。不同的评定方法会得出不同的参考圆心位置和圆度值。主要标准方法包括:

①最小二乘圆LSC:拟合圆使轮廓点径向偏差平方和最小。
②最小区域圆MZC:两个同心圆包容轮廓,使两圆的径向间距最小。
③最小外接圆MCC:寻找能完全包容被测轮廓的最小圆。用于评估轴类零件。
④最大内切圆MIC:寻找能完全内切于被测轮廓的最大圆。用于评估孔类零件。
以上就是《知识分享 | 圆度测量技术全解析》的全部介绍,希望能为大家提供切实帮助。
对于企业而言,工业测量仪器的精度与稳定性直接影响生产效率与产品质量,因此选择一家经验丰富、靠谱的合作商至关重要。我们在工业测量仪器领域深耕十余载,不仅积累了扎实的技术经验,更能为客户提供从设备选型、安装调试到售后维护的全流程支持。
如果您有相关需求或想进一步了解产品细节,欢迎随时拨打我们的咨询电话:133-7622-3098,我们将竭诚为您服务!


